ABS Plastic
polyethylene (PE)
polypropylene (PP)
polyvinyl chloride (PVC)
Vitrimers

Common polymers such as polypropylene (PP), polyethylene (PE), ABS Plastic, PC and PS are already recyling at scale.
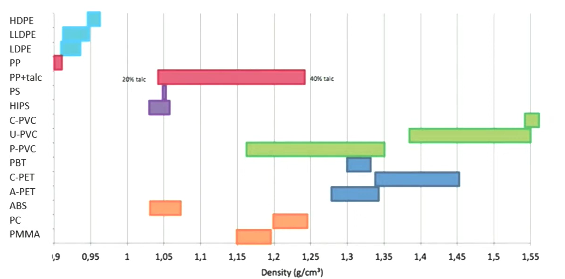
Compatibility of different plastics in the recycling process

For example, PET becomes brittle and yellow when it is blended with a small concentration of PVC, which both have a density of about 1.4 g/cm3